개요
압력 배관을 설계할 경우 고려 사항에 대해서 살펴보겠습니다. 배관 설계에 있어 설계자가 결정할 변수는 직경과 두께 정도이고, 강판의 재질도 중요한 변수로 작용하겠지요.
이번 포스팅에서는 보일러 강판과 같이 두께가 얇은 구조에 압력이 작용할 경우 강판의 응력 분포에 대해서 다뤄 보겠습니다. 막 응력(membrane stress)란 무엇일까요?
검토모델

보일러 강판의 두께 선정
원통에 내압이 작용할 경우 원통은 축 방향 응력과 원주 방향 응력이 동시에 작용하게 됩니다. 우리는 이 두 응력을 계산하고 그중 큰 값을 얻어낸 후, 그 값이 원통의 허용응력 미만이 되도록 설계할 수 있습니다.
“ 축방향 &원주방향 응력 계산 → 원통 재질의 허용응력 비교 → 원통 두께 선정 “
1) 축 방향 응력

원통에 내압이 작용함으로 인해 원통은 축 방향으로 파괴되려고 합니다. 이때 축 방향 응력은 아래의 식으로 계산됩니다.

위 식이 이해되실까요? 힘은 작용 압력과 수직 방향 단면적의 곱으로 표현됩니다. 또한, 힘은 응력과 단면적의 곱으로도 표현됩니다. 이 두 힘은 같은 값을 가짐을 기억해 주세요.

결과적으로 축 방향 응력은 위 식과 같이 됩니다. 압력과 지름이 클수록 응력이 증가하고 두께가 클수록 응력은 감소하게 됩니다.
1) 원주방향 응력

원통은 압력에 의해 원주 방향으로 파괴되려 합니다. 이때의 응력을 계산해 보면 아래와 같습니다.

축 방향 응력과 같은 논리로 접근하면 이해가 쉬울거라 생각됩니다.

원주 방향 응력이 축 방향 응력보다 항상 큰 값(2배)을 가지므로 내압을 받는 원통은 항상 원주 방향으로 파괴됨을 알 수 있습니다.

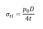
따라서 우리는 원주 방향 응력만을 고려해서 압력 배관의 두께(t)를 선정할 수 있습니다. 아래 식을 한번 볼까요?

여기서 η는 접합 효율을 의미하고 c 값은 부식 여유를 말합니다. 위 압력 원통의 파괴 사례를 보면 알 수 있듯이 용접 접합된 선을 따라서 원통이 파괴됨을 알 수 있습니다.
구조물은 모재의 상태보다 접합 이음 된 위치에서 응력집중에 의해 우선적으로 파괴되므로 원통 설계에 접합이음효율을 고려해 줘야 합니다.
또한 노후에 따른 부식은 두께 감소를 야기하게 되고, 두께 감소는 원통의 안전성과 직결되므로 부식 여유를 통해 기존 설계치 보다 두께 여유를 더 줘서 설계하는 것이 바람직합니다.
일반적으로 사용 환경에 따라 1~7 mm의 부식 여유를 줄 수 있습니다.
막응력(membrane stress)
앞서 압력 원통에 작용하는 응력에 대해 살펴보았습니다. 이처럼 내압을 받는 원통에 작용하는 응력을 막 응력(membrane stress)라고 하는데요, 얇은 판의 경우 그 두께에 균일하게 응력이 작용한다고 이해하면 좋겠습니다.
반대로 두께가 일정 수준 이상이 되면 두께에 따른 굽힘이 추가적으로 발생하게 되니 전혀 다른 응력 양상을 보이게 됩니다.

때문에 구조물의 끝부분이나 이음부와 같이 응력이 집중되는 곳에서는 막 응력 만으로는 즉, 위의 압력배관 공식

만으로는 계산될 수 없게 됩니다.
때문에 원통 두께 선정 공식에 이음부 효율과 부식 여유가 추가로 고려된 것이지요.
위 그림과 같이 총 응력(total stress)은 막 응력, 굽힘 응력, 집중 응력의 합으로 표현되며 용접 이음 된 압력 배관의 파괴가 용접 이음부에서 발생한 것은 막 응력과 집중응력의 합의 위치가 용접 이음부이기 때문인 것입니다.
내압을 받는 원통의 설계
응력집중이 없는 경우와 있는 경우를 비교해 보겠습니다.

1) 응력집중이 없는 원통

구조 해석상의 응력은 등가 응력(von-mises stress) 값입니다. 내압을 받는 원통의 등가 응력은 232 MPa로 확인됩니다.

위 사진과 같이 용접 접합된 경우에는 응력이 어떻게 변화할까요?
2) 응력집중이 있는 원통
용접 비드를 형상화하여 3D 모델링을 조정하여 재해석해보겠습니다.
같은 조건에서 용접비드로 인하여 등가응력이 298 MPa로 증가함을 확인할 수 있습니다.
만약 원통이 내압에 의해 파괴된다면 원주방향으로 용접비드 부근에서 파괴가 발생할 것을 예상할 수 있습니다.
따라서 내압을 받는 원통을 설계할 때에는 허용응력을 등가응력보다 높게 하거나(재질의 변경) 직경이나 두께를 상향하여 등가응력을 낮추는 방법으로 설계할 수 있습니다.
“등가응력 < 허용응력”
설계변수의 조정은 원가상승을 초래하므로 구조설계를 통한 최적화된 변수결정이 무엇보다 중요합니다.
감사합니다.
'구조설계' 카테고리의 다른 글
| 볼트 설계 (1) - 축하중 비틀림 전단을 받는 경우 (1) | 2021.05.10 |
|---|---|
| 응력집중계수의 이해 Stress Concentration Factor (0) | 2021.05.10 |
| 볼트 역학과 체결 토크 계산 (10) | 2021.05.03 |
| 등가응력(equivalent stress)의 이해 (0) | 2021.05.03 |
| 응력 변형률 선도 (Stress strain curve) (0) | 2021.04.21 |
