#조합응력 #모어의 응력원 #등가응력 #상당응력 #본 미세스 응력 #equivalent stress #von-mises stress
1. 응력의 표시, 응력 텐서

물체에 작용하는 응력 상태는 어떻게 나타낼 수 있을 까요?
물체 내의 응력 상태는 일반적으로 3차원으로 분포하기 때문에 미소 직육면체를 가정하고 각 면에 작용하는 좌표축 방향에 대한 응력 성분으로 표시하면 편리합니다.
아래 그림과 같이 물체 내의 임의의 점에 대한 응력 상태를 9개의 성분을 가진 텐서(tensor)로 표시할 수 있습니다.

텐서란, 특정 좌표계에서 정의된 물리량이 변환된 다른 좌표계에서도 그 형태를 바꾸지 않고 사용 가능한 물리량을 말합니다.
이처럼 미소한 임의의 점에 대한 응력 상태를 텐서로 표시함으로써 수식을 쉽고 간결하게 표시하고, 물리적 현상의 해석을 매우 편리하게 다룰 수 있습니다.
또한, 이 텐서를 행렬로서 표시하면 변환 행렬을 이용하여 좌표계를 쉽게 임의의 방향으로 변환할 수 있게 됩니다.
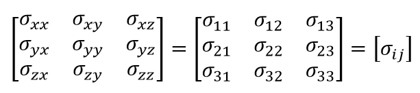
즉 응력 텐서를 아래와 같은 3행 3열의 행렬로써 표시할 수 있습니다.

응력 성분의 1 첨자 i는 응력이 작용하는 면을 나타내고, 2 첨자 j는 응력이 작용하는 방향을 표시합니다. 또한, 응력 성분의 부호는 그림 1. 과 같은 방향으로 작용할 때는 (+)의 방향으로 약속합니다.
이 응력 성분들 중 같은 첨자를 갖는 3개의 응력 성분(σxx, σyy, σzz)은 각 면에 수직으로 작용하므로 수직 응력(normal stress)이고, 첨자가 다른 6개의 응력 성분(σxy, σxz, σyz, σyx, σzx, σzy)은 각 면에 평행하게 작용하므로 전단응력(shear stress)이라 합니다.
2. 모어의 응력원과 주응력

기계설계에서는 위 그림과 같이 두 방향의 수직 응력 σx, σy와 전단응력 τxy을 모두 감안하여 강도 설계를 수행해야 합니다(3축의 경우 z-방향이 추가).
이때 고려되는 단면에 작용할 수 있는 응력들로는
수직응력 σn
전단응력 τ
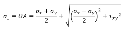
최대주응력 σ1
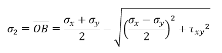
최소주응력 σ2
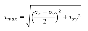
최대전단응력 τmax
이 있습니다. 또한 최대주응력의 작용 방향Ф을 구해서 파괴 단면의 방향을 예측할 수도 있습니다.
이들을 계산하는 방법으로는 힘의 분해 및 합성에 의한 평형 방정식을 이용하는 방법, 응력의 좌표변환에 의한 방법, 모어의 응력원에 의한 방법 등이 있습니다.
이들 중 가장 보편적으로 사용되는 모어의 응력원을 통한 계산을 살펴보겠습니다.

위 그림을 통해 구하고자 하는 응력들을 쉽게 구할 수 있습니다. 점 P가 원 위를 돌아다니며 수직 응력과 전단응력을 복합적으로 발생시킨다고 이해해 주세요.
수직 응력과 전단응력은 모어의 응력원에서 점 P의 자취입니다.
1) 최대주응력

2) 최소주응력

3) 최대전단응력

최대전단응력은 모어의 응력원에서 반지름에 해당합니다.
최대전단응력은 최대주응력이 45도 회전한 단면에서 발생됩니다. 하지만 모어의 응력원 관점에서는 최대전단응력은 최대주응력이 90도 회전한 단면에서 발생됩니다.
때문에 모어의 응력원에서는 2θ로 계산합니다.
3. 주응력과 강도 설계

우리는 모어의 응력원을 통해 미소 단면에 작용하는 주응력 σ1 , σ2를 계산하는 방법을 알게 되었습니다.
그렇다면 구조물의 설계에서 주응력은 어떻게 활용될까요?
재료의 항복 기준에 따라 주응력이 항복 응력을 초과하지 않으면, 재료는 파괴되지 않으므로 구조물의 설계에 주응력을 적극 활용할 수 있습니다.
하지만 항복 응력은 단축 인장시험을 통해 얻어진 결과이므로 주응력 σ1 , σ2를 모두 고려하여 파괴 여부를 판단할 순 없습니다.

예를 들어, 항복강도 = 400 MPa, 최대주응력 = 350 MPa, 최소주응력 = 100 MPa 일 때 재료는 파괴될까요?
평면 응력으로 작용하는 주응력 성분이 2개 이므로 단축 성분인 항복 응력과 직접적인 비교가 어렵습니다.
더욱이 실제 구조물은 3차원에 존재하므로 주응력 성분은 3개가 존재할 수 있고, 이 3개의 주응력을 항복 응력과 비교하기는 더욱 어렵습니다.
따라서 3축 성분으로 구성된 주응력을 단축 성분으로 변환하여 항복 응력과 직접적으로 비교할 필요가 있습니다.
이처럼 3개의 주응력 성분을 하나의 스칼라 값으로 변환한 후에, 항복 응력과 직접적인 비교를 통해 구조물의 파괴 여부를 판단하게 됩니다.
이렇게 변환된 응력을 우리는 등가응력, 상당응력, equivalent stress, von-mises stress라고 합니다.
Von-mises stress는 3축 성분의 주응력을 하나의 스칼라 값으로 변환하는 방법 중 하나이며, 그 방법에는 뿐만 아니라 Tresca에 의한 방법도 존재합니다.
Von-mises는 주응력을 기반으로 등가응력을 계산하며 Tresca는 최대전단응력을 기반으로 등가응력을 계산합니다.
4. 등가응력(von-mises stress)
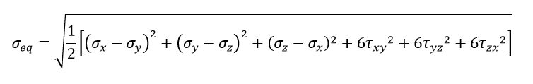
1) 주응력을 알 경우

2) 주응력을 모를 경우

구조물을 설계할 때 구조물에 작용하는 외력을 계산하고, 그 외력에 의한 내력을 계산하게 됩니다.
계산된 내력은 3축 성분을 가지므로 등가응력을 통해 1축 성분으로 변환하면 항복강도와 직접적인 비교가 가능합니다.
실제 설계에서는 대부분 3차원 문제를 다루기 때문에 사람이 직접 손으로 강도 설계를 하는 것에는 한계가 있습니다.
기본적인 역학적 관계를 검증하기 위해 손 계산이 필연적으로 들어가긴 하지만, 최종적인 결과는 컴퓨터를 통한 구조해석으로 도출해 냅니다.
일반적으로 구조해석으로 도출하는 대부분의 응력 값들은 등가응력(von-mises stress)이므로 재료의 항복강도와 단순 비교를 통해 효율적인 구조물 설계가 가능합니다.
'구조설계' 카테고리의 다른 글
| 볼트 설계 (1) - 축하중 비틀림 전단을 받는 경우 (1) | 2021.05.10 |
|---|---|
| 응력집중계수의 이해 Stress Concentration Factor (0) | 2021.05.10 |
| 볼트 역학과 체결 토크 계산 (10) | 2021.05.03 |
| 응력 변형률 선도 (Stress strain curve) (0) | 2021.04.21 |
| 배관의 설계 (1) | 2021.03.29 |