볼트의 강도를 나타내는 방법은 무엇일까요?
볼트를 설계할 때 고려해야 할 것은 무엇이 있을까요?
1. 볼트의 강도표시
볼트의 강도를 나타내는 기계적 성질은 KS B 0233, KS B 1002에서 규정하고 있습니다.
볼트의 강도를 간단하게 확인하는 방법은 볼트 머리에 각인된 강도 구분 수치를 확인하는 것입니다.

그림처럼 볼트 머리에는 강도를 표시하는 수치가 있고, 8.8T 와 같이 끝부분에 T를 붙혀 강도 구분 수치를 표현합니다.
강도 구분 8.8의 의미는 소수점 앞의 숫자는 인장강도를 나타내고 소수점 뒤의 숫자는 항복강도를 나타내는데, 그 의미를 정확히 이해하기 위하여 아래를 참조할 수 있습니다.
(1) 소수점 앞의 숫자 : 호칭인장강도(MPa, N/mm2)의 1/100을 표시
> [3.6]인 경우 : 3 → 호칭인장강도 300 MPa 을 의미
(2) 소수점 뒤의 숫자 : [호칭항복강도/인장강도] × 10
> [3.6]인 경우 : 6 → 호칭항복강도가 인장강도의 0.6배임을 나타냄. 즉, 호칭항복강도는 '소수점 앞의 숫자'와 '소수점 뒤의 숫자'의 곱을 10배한 값이 됩니다.
따라서 호칭항복강도는 300 × 0.6=3 × 6 × 10 = 180 MPa가됩니다.
[10.9] 볼트의 경우 인장강도는 1000 MPa 이고, 항복강도는 인장강도의 90%에 해당하므로 900 MPa이 되는 것입니다.
볼트를 설계할 때, 강도구분을 잘 확인하여 항복강도에 따른 설계가 필요하므로 볼트의 강도 구분 표시법은 꼭 숙지하고 있어야 합니다.
2. 볼트의 설계
볼트는 여러 가지 조합 하중을 받기 때문에 볼트에 작용하는 하중을 모두 고려하지 않고서는 볼트의 강도와 크기를 결정하기 어렵습니다.
체결면에 대한 정밀도, 나사면의 마찰, 진동 및 충격에 의한 체결의 헐거워짐 등 또한 나사에 추가적인 하중을 작용시키는 요인이 됩니다.
매우 많은 조합 요소들이 존재하므로 볼트를 설계할 때는 사용 목적에 따라 아래와 같이 구분하여 설계합니다.
1. 축하중만 작용하는 경우
2. 축하중과 비틀림 모멘트가 동시에 작용하는 경우
3. 전단하중만이 작용하는 경우
4. 충분히 조여진 볼트에 외력이 작용하는 경우
5. 충격하중만 작용하는 경우
이번에는 1, 2, 3번 문제만 다뤄보도록 하겠습니다.
4, 5번 문제는 볼트 프리텐션(Pretension), 에너지 문제를 다뤄야 하므로 차후에 추가로 포스팅하겠습니다.
(1) 축하중만 작용하는 경우

볼트에 축하중만 작용하는 경우는 매우 일반적입니다.
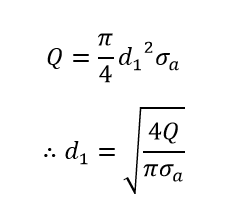
체결하고자 하는 두 강판 사이의 마찰이 없다고 가정하고, 축방향으로 단순히 인장하중 Q[N]만이 작용하므로 볼트의 가장 취약한 단면은 골지름 단면이 됩니다.
따라서 골지름 단면에 발생하는 응력이 허용응력 이하가 되도록 설계합니다.
σa를 볼트 재료의 허용인장응력 [MPa; N/mm2], d를 나사의 바깥지름 [mm], d1을 나사의 골지름 [mm]이라 할 때,

이므로 골지름 d1을 결정한 후 골지름에 맞는 바깥지름을 결정하여 볼트를 설계하게 됩니다.
계산된 바깥지름은 KS에 규정된 호칭지름과 일치하지 않는 경우가 많으므로 안전을 고려하여 항상 계산된 호칭지름보다 큰 KS 규격 값을 선정해야 합니다.
예를 들어 계산된 바깥지름이 9.2 mm 일 때, M10 볼트를 선정하도록 합니다.
문제1) M27 아이볼트에 40 kN의 인장하중이 작용할 때 볼트 몸통에 작용하는 응력은?

M27 볼트의 공칭 단면적은 459 mm2이므로 볼트 몸통에 작용하는 인장응력은 아래와 같이 계산됩니다.

따라서 M27 볼트의 몸통에 작용하는 인장응력은 87 MPa입니다.
반면에, 예제 문제와 동일한 조건으로 구조해석을 해보면 볼트 몸통의 손 계산과 동일한 응력 값을 확인할 수 있습니다.
하지만 단면적이 변화되는 볼트 머리 부분에서 응력집중에 의해 최대상당응력이 181.8 MPa까지 증가함을 알 수 있습니다.
이것은 구조물의 형상에 따른 응렵집중계수의 효과로 볼 수 있습니다.
이처럼 단순 인장하중을 받는 볼트일지라도, 볼트의 형상에 따라 응력 값이 달라질 수 있기 때문에 구조해석을 통해 결과를 분석하는 것이 더욱 효과적입니다.
물론 해당 문제의 경우 응력집중계수를 적용하여 손 계산으로도 계산이 가능합니다.
응력집중계수에 대한 문제는 아래 링크를 참조해 주시기 바랍니다.
https://csengineering.tistory.com/15
응력집중계수의 이해 Stress Concentration Factor
응력집중계수란 무엇일까요? 응력집중계수가 고려된 응력과 단순 손계산으로 계산된 공칭응력의 차이는 어떨까요? 1. 응력집중계수 구조물의 응력집중이란 단면이 급격히 변하는 구멍(hole), 홈(
csengineering.tistory.com
2. 축하중과 비틀림 모멘트가 동시에 작용하는 경우
일반적으로 나사면의 마찰에 저항하여 볼트를 돌릴 때는 비틀림 모멘트와 축하중을 동시에 받게 됩니다.
따라서 볼트를 돌림에 따라 축하중과 비틀림 모멘트가 함께 증가하게 됩니다.
나사를 조이는데 필요한 비틀림 모멘트 T를 구해보면 아래와 같습니다.

위 식이 생소하다면 아래 링크의 볼트 역학을 참조하시면 도움이 됩니다.
https://csengineering.tistory.com/14
볼트 역학과 체결 토크 계산
볼트 역학과 체결 토크 계산 볼트를 체결하기 위해 필요한 힘은 어떻게 계산될 까요? 우리가 볼트를 체결할 때 사용하는 토크렌치의 토크 값의 근거는 무엇일 까요? 볼트를 체결함에 따라 볼트
csengineering.tistory.com
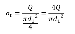
이 비틀림 모멘트 T에 의한 볼트의 전단응력 τ를 구해보면,

그리고 인장응력 σt는 다음 식과 같이 됩니다.

이렇게 나사에 작용하는 인장응력 σt와 전단응력 τ를 구할 수 있습니다.
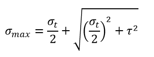
두 응력이 조합응력으로 작용할 때, 재료의 파괴를 판단하는 방법은 최대전단응력 τmax을 이용하는 최대전단응력설과 최대주응력 σmax를 이용하는 최대주응력설이 있습니다.
최대전단응력설은 연성재료에 잘 맞고 최대주응력설은 취성재료에 잘 맞으므로 볼트 재료의 성질에 따라 알맞은 방법을 선택하여 설계할 수 있습니다.
볼트의 강도가 높을수록 취성 성질을 가짐을 참고해 주세요.
<최대전단응력설>
최대전단응력 τmax는 모어의 응력원을 통해 아래와 같이 구합니다.

모어의 응력원에 대한 자세한 내용은 아래 링크를 참조해 주세요.
https://csengineering.tistory.com/13
등가응력(equivalent stress)의 이해
#조합응력 #모어의 응력원 #등가응력 #상당응력 #본 미세스 응력 #equivalent stress #von-mises stress 1. 응력의 표시, 응력 텐서 물체에 작용하는 응력 상태는 어떻게 나타낼 수 있을 까요? 물체 내의 응력
csengineering.tistory.com
따라서, 최대전단응력 τmax는 볼트 재료의 허용전단응력을 초과하지 않도록 설계되어야 합니다.
<최대주응력설>
최대주응력 σmax는 모어의 응력원을 통해 아래와 같이 구합니다.

따라서, 최대주응력 σmax는 볼트 재료의 허용인장응력을 초과하지 않도록 설계되어야 합니다.
3. 전단하중만 작용하는 경우

위 그림처럼 두 물체가 볼트에 의해 체결될 때, 두 물체가 미끄러지지 않기 위해서는 두 물체 사이의 마찰력 μQ가 P보다 커야 합니다.
축 방향 Q는 체결력이므로 볼트를 더 강하게 조을수록 값이 증가하게 되어 두 물체가 더 안 미끄러지게 하도록 합니다.
그러나 반복하중이나 충격하중이 빈번하게 작용하는 경우에는 마찰 저항이 충분하더라도 두 물체의 미끄러짐이 발생할 수 있습니다.
이처럼 (1) 두 물체가 미끄러져 볼트 몸통에 전단이 작용하거나, (2) 볼트 몸통과 두 물체 사이의 구멍 틈새가 없어 미끄러짐 없이 바로 전단이 작용할 수도 있습니다.
전단이 작용하는 위의 두 가지 경우 중에서 미끄러짐으로 인해 발생하는 전단의 경우 전단응력과 함께 굽힘응력도 동시에 작용하기 때문에 큰 응력이 발생하게 됩니다.
굽힘응력이 작용하는 이유는 볼트 몸통과 물체 사이의 갭(gap) 만큼 볼트 몸통이 변형할 수 있기 때문입니다(보의 처짐 같은 거동).
이러한 굽힘응력이 발생하는 현상을 막기 위해서는 높은 체결력으로 축 방향 하중을 증가시켜 미끄러짐을 억제(높은 항복강도 재료 필요) 하거나, 볼트 구멍을 리머로 다듬질하여 볼트와 물체의 틈새가 없도록 하여 순수한 전단응력 상태를 유지하도록 하는 방법이 있습니다.
또한, 아래 그림 (a)처럼 볼트 몸통과 물체 사이에 링(ring)을 삽입하여 볼트를 보호하거나, 그림 (b)처럼 테이퍼를 주어 밀착을 강화하여 틈을 없애는 방법도 있습니다.

볼트 몸통에 전단하중이 작용하는 경우의 설계 법은 ISO, EN 등의 설계 표준에서 상세히 다루고 있으므로 추가 포스팅에서 상세히 다뤄보도록 하겠습니다.
감사합니다.
'구조설계' 카테고리의 다른 글
| 너트 설계 - 굽힘강도, 전단강도, 접촉면압력 계산 (6) | 2021.05.31 |
|---|---|
| 볼트 설계 (2) - 볼트 체결력 고려, 충격하중 작용할 경우 (0) | 2021.05.28 |
| 응력집중계수의 이해 Stress Concentration Factor (0) | 2021.05.10 |
| 볼트 역학과 체결 토크 계산 (10) | 2021.05.03 |
| 등가응력(equivalent stress)의 이해 (0) | 2021.05.03 |
