피로 설계 4 : 용접 구조물의 피로 Part 1 - 노치효과 및 최적 목 두께 선정
안녕하세요? 이엔지베이는 구조해석 컨설팅 & 용역 전문 업체입니다.
강 구조물의 피로현상에 대해 장편에 걸쳐 포스팅을 개시할 계획입니다.
현업에서 경험할 수 있는 다양한 피로 현상과 용접의 피로 균열에 대한 내용을 다루게 됩니다.
1. 개요
용접과정 중에 발생하는 열은 재료를 변형시킵니다. 이러한 열적 영향은 열영향부(HAZ, Heat Affected Zone)의 생성을 통해 야금학적 전이를 발생시키게 되는데 이 HAZ는 경도가 증가된 영역과 연질 영역으로 구분됩니다.
또한, 이러한 경도차이와 함께 용접 후 냉각 시 수축 작용으로 인한 잔류 응력을 발생시키게 됩니다.
용접에 의한 결함은 매우 작은 반경을 갖는 토우(toe), 자동 용접에서 주로 발견되는 탕경(cold laps), 언더컷, root 결함, 용융 부족, 내부 결함, 다공성 결함 등이 있으며 일반적으로 피로에 대해서는 내부 결함보다 표면 결함이 더 치명적입니다.
위 내용을 보면 마치 HAZ 영역이 피로 강도에 미치는 영향이 클 것 같지만 우리의 예상과는 달리 HAZ 영역이 피로 강도에 미치는 영향은 미미합니다. 실제로 피로 강도에 영향을 미치는 용접 관련 인자는 용접 토우나 루트에서 발생하는 형상적인 이슈입니다.
물론 잔류 응력도 용접부의 피로 강도에 매우 중요한 요소로 작용합니다.
따라서, 용접부의 국부 형상을 개선하는 작업은 피로 강도 향상에 매우 효과적입니다.
2. 용접구조의 다양한 기하학적 노치 효과
용접 이음에서는 다양한 원인으로 응력 흐름이 방해를 받아 노치로 작용하게 됩니다(그림 1).


용접 구조의 경우 주로 국부적인 관점을 다루게 되는데, 용접부의 국부적인 응력을 일반적으로 “Hot Spot” 응력이라고 합니다.
이러한 응력 집중은 플랭크 각도(Flank angle)와 용접 토우 반경에 의해 결정되며 이러한 변수들에 따라 응력 집중이 크게 달라지게 됩니다(그림 2의 Kt 값 참조).

이때의 응력집중 계수 역시도 모재의 응력 집중 효과와 동일한 개념으로 피로 계산에 사용됩니다.
3. 용접 이음의 종류 및 필릿 용접의 최적 목 두께 선정
필릿 용접은 맞대기 용접과 달리 횡(Transverse) 방향으로 하중 전달을 하므로 응력 흐름의 방해를 많이 받습니다(그림 3).

때문에 수직으로 하중을 받는 용접은 수평으로 하중을 받는 용접보다 더 큰 노치 효과를 발생시키게 되므로 수평 하중의 노출을 유도하는 설계가 피로 관점에서 이롭습니다(그림 4).

피로 관점에서 용접부의 주요 관심사는 루트(root)와 토우(toe)입니다. 바로 이 2곳에서 대부분의 피로 균열이 발생하기 때문이지요. 만약 용입 깊이가 낮거나 목 두께가 작은 경우 루트에서 피로 균열이 발생하게 되는데, 이경우 피로 강도를 증가시킨다고 용접 토우에 후 처리를 하게 되면 오히려 더 위험해질 수 있습니다.
따라서 루트에 균열이 발생하지 않도록 충분한 목 두께와 침투 깊이를 선정하는 것은 매우 중요합니다.
그림 5, 6, 7을 참고하면 효율적인 목 두께 선정이 가능합니다.
해당 표는 후 처리를 하지 않은 용접에 대한 기초 자료로 활용할 수 있습니다.



용접의 후 처리는 주로 토우의 피로 강도를 증가시켜 주기 때문에, 균일한 피로 강도 확보를 위해 루트 측면의 설계가 특히 중요합니다.
앞서 설명했듯이, 침투 및 목 두께가 불안정하면 루트 균열을 야기할 수 있고 이 경우 토우의 후 처리가 의미가 없어지기 때문에 루트의 피로 강도를 충분히 확보한 후에 후 처리를 통한 토우 피로 강도 향상을 도모하는 것이 옳은 설계 방향입니다.
4. 두께 효과
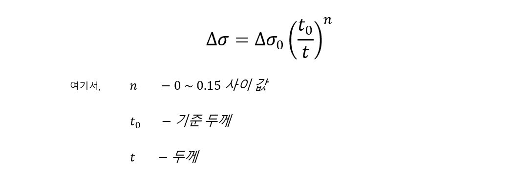
우리의 직관과는 다르게도 두께의 감소는 응력 측면에서 피로 강도를 향상시킵니다.
그림 8에서 알 수 있듯이, 응력에 노출되는 부피가 커질수록 파단 가능성도 함께 증가하게 됩니다. 두께 차이가 있는 두 시편을 보면 응력집중 점의 최댓값은 같지만 응력에 노출되는 영역이 두께가 큰 시편이 더 크므로 피로 균열에 더 많이 노출되는 결과를 초래합니다.

이러한 피로 강도와 두께의 상관관계는 아래 식으로도 표현될 수 있습니다.

위 식을 사용하면 5 mm 두께의 용접부가 15 mm 두께의 용접부 보다 피로 강도가 최대 25% 더 높은 것을 확인할 수 있습니다. 또한, 권장되는 n 값은 아래 표 1을 통해 얻을 수 있습니다.

본 포스팅을 통해서 최종적으로 소개될 피로 설계 콘텐츠인 공칭응력법, 핫 스팟 법, 유효노치 응력법, 파괴역학 중 해당 두께 효과를 계산에 사용하는 기법은 공칭응력법으로 그 외 4가지 기법에서는 사용하지 않습니다.
5. 잔류응력과 제거기법
잔류응력은 용접 후 냉각 과정에서 발생하는 수축으로 인해 형성되는 인장 응력입니다.
소재는 냉각 과정에서 수축을 하게 되는데, 열 영향부에서는 온도 변화가 크므로 강한 수축 작용이 발생할 것이고 열 영향부에서 멀어질수록 수축 작용이 미미하므로 그 경계부에서 강한 인장응력이 발생하게 되는 것입니다. 이것이 바로 잔류응력의 탄성 배경이 됩니다.
당연히도 잔류응력은 피로에 큰 영향을 미칩니다. 인장과 압축 잔류응력의 경계지점의 피로 강도 차이는 상당합니다. 일반적으로 모재의 항복 강도만큼의 인장 잔류응력이 용접 이음에 존재한다고 가정합니다.
잔류 응력은 외부 하중에 의해 응력이 추가될 수 있습니다. 즉, 인장 잔류응력 상태인 영역에 인장 응력을 추가로 작용시키면 응력은 추가로 증가될 것이고 반대로 압축 응력을 작용시키면 해당 영역의 응력은 감소합니다. 엔지니어는 이 효과를 충분히 이용하여 피로 강도를 향상시킬 수 있음에 주목해야 합니다.
어려운 내용일 수 있지만 중요한 내용으로 아래 그림은 잔류응력에 추가로 작용하는 외력에 의한 응력에 대한 내용입니다.

해당 내용은 다음 포스팅에서 상세히 다뤄보겠습니다.
이상으로 “용접 구조물의 피로 Part 1”에 대해 알아보았습니다.
다음 시간에는 “용접 구조물의 피로 Part 2”에 대해 알아보겠습니다.
감사합니다.
CAE 용역&컨설팅 전문 업체 ENGBAY
ENGBAY는 다년간의 설계 및 해석 경험을 바탕으로 단순한 해석 결과 도출이 아닌, 제품 개발에 필요한 원천적인 솔루션을 제시해 드립니다.
제품 개발 중 발생할 수 있는 다양한 문제들을 CAE Simulation을 통해 효과적으로 해결하세요!
ENGBAY가 여러분의 개발 과제를 도와드립니다.
구조해석 & 유동해석을 활용하면 개발에 투입되는 자금을 획기적으로 줄일 수 있습니다.
아래 링크를 통해 다양한 해석 정보를 확인하실 수 있습니다.
출처
[1] Hobbacher, A. Recommendations for fatigue design of welded joints and components. International Institute of Welding, document XIII-1965-03/XV-1127-03.
[2] Eriksson, A., Lignell, A-M., Olsson, C., Spennare, H. Svetsutvardering med FEM Handbok for utmattningsbelastads konstruktioner (in Swedish). VI, Industrilitteratur 2002, ISBN 91-75-636-9.
[3] Fogningshandboken Sammanfogning av hoghallfasta stal. SSAB Tunnplar AB, 2004.
[4] Nilsson, T. Manufacturing Guidelines when Using Ultra High Strength Steels in Automotive Application. ECSC Final report from SSAB – Part 2: Fatigue, 2004.
[5] Sperle, J-O. Strength of spot welds in high strength steel sheet. Metal Construction (1983), Vol. 15, No. 4.
[6] Platbandboken, utgava VII. SSAB Borlange: s.n., 1997.
[7] SSAB Design handbook, www.ssab.com/ko-kr
이엔지베이에서 제공하는 모든 콘텐츠는 관련 법의 보호를 받습니다.
모든 저작권은 이엔지베이에 있으며 출처 외 콘텐츠의 무단 복사,배포,편집을 금합니다.
