키(Key)의 설계
기계요소의 키(key)란 무엇일까요?
키의 강도 계산은 어떻게 할까요?
1. 키(Key)
키(key)는 축에 기어, 풀리, 플라이휠, 커플링, 클러치 등과 같은 회전체를 고정시켜 원주 방향의 상대운동을 방지하면서 회전력을 전달시키는 결합용 기계요소입니다.
회전력을 전달하기 위한 힘은 축과 키를 포함한 평면에 직각으로 작용하므로 주로 전단력을 받는 기계요소라 하겠습니다.

키는 일반적으로 단면의 형상이 사각형 또는 원형으로 되어 있으며 축의 재질보다 강도가 크고 단단한 재질이 주로 사용됩니다.
대표적인 재질로는 기계구조용 탄소강인 SM20C ~ SM45C가 주로 사용되고, 탄소강 단강품인 SF540A도 널리 사용되고 있습니다.
2. 키의 종류
키를 용도에 따라 분류하면 아래 그림과 같이 안장키(saddle key), 납작키(flat key), 묻힘키(sunk key), 접선키(tangential key), 미끄럼키(sliding key), 반달키(woodruff key), 둥근키(round key), 원뿔키(cone key) 등이 있고, KS B 1331 ~ 3에 의해 규정됩니다.

3. 키의 설계 (강도계산)
<묻힘키>
키의 치수 결정은 축에서 발생되는 토크를 안전하게 전달할 수 있도록 결정되어야 합니다.
묻힘키를 때려 박을 때 키의 밑면 또는 축의 밑면에 접촉압력이 발생하여 약간의 토크를 발생시키지만 강도계산에서는 이를 무시하고 오직 키에 작용하는 전단력과 측면 압축력만이 축의 토크를 전달시키는 것으로 간주합니다.


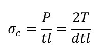
(1) 축과 보스의 접촉면에서 키가 전단되는 경우

이므로

이 됩니다.
위 식을 통해 전단을 고려한 키의 사이즈 설계가 가능합니다. 키의 재질을 고려하여 키의 길이 및 폭을 결정할 수 있습니다.
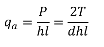
(2) 키 측면에서 압축력을 받는 경우
키가 압축력을 받을 경우

이 됩니다.
위 식을 통해 압축을 고려한 키의 사이즈 설계가 가능합니다.
묻힘키에 대한 경험식 및 일반적인 계산 방법은 위 식을 기본으로 하고 있으며 상세한 내용은 KS B 1311에 규격화되어 있습니다.
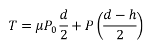
<접선키>
아래 그림과 같이 한쪽 면에 기울기를 갖는 2개의 키를 조합하여 축의 접선 방향으로 때려 박은 키를 접선키라 합니다. 키 중에서 가장 큰 토크를 전달할 수 있어 널리 사용되는 키입니다.

접선키에 작용하는 허용면압력 qa는 묻힘키와 마찬가지로 아래와 같이 계산됩니다.

이때 접선키에 작용하는 전달 토크는 아래 식으로 구합니다.

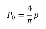
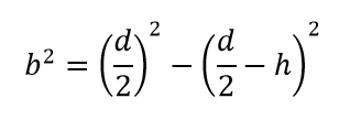
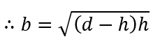
여기서, P0는 축과 보스 사이의 압력을 나타내며 아래와 같습니다.

또한, 키의 폭 b는 기하학적 관계로부터 아래와 같이 쓸 수 있습니다.


따라서, 위 식을 근거로 해서 접선키의 길이, 폭, 두께를 결정할 수 있습니다.
접선키에 대한 상세한 내용은 KS B ISO 3117에 의해 규정되고 있습니다. KS는 아래 링크를 통해 무료로 열람 가능하니 참고 바랍니다.
e나라 표준인증
standard.go.kr
