너트 설계 - 굽힘강도, 전단강도, 접촉면압력 계산
너트 설계에 고려해야 할 것은 무엇일 까요?
굽힘강도에 의한 너트의 파괴
전단강도에 의한 너트의 파괴
나사산의 접촉면압력
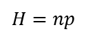
너트의 높이 전체에 나사가 성형되었을 경우 나사산의 수를 n, 나사 피치를 p라고 하면 너트 높이 H의 계산은 아래 식으로 구할 수 있습니다.

나사산은 축하중에 의한 굽힘 또는 전단으로 파괴됩니다.
삼각나사의 경우 굽힘에 의해 파괴된다고 간주하고 사각나사와 사다리꼴 나사는 전단으로 파괴된다고 간주하여 계산하는 것이 일반적입니다.
1. 너트의 굽힘강도

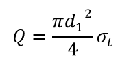
위 그림과 같이 미터 보통나사의 볼트와 너트가 결합된 경우, 인장응력 σt인 볼트에 축하중 Q가 작용하므로 각 나사산의 중앙에 집중하중이 작용하는 것으로 가정할 수 있습니다.
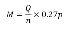
따라서 축하중과 굽힘 모멘트 사이의 관계식을 아래와 같이 나타낼 수 있습니다.


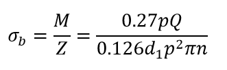
나사산을 집중하중이 받는 외팔보로 가정할 수 있고, 외팔보의 굽힘응력을 계산하기 위해 단면계수 Z를 구해야 합니다.
직사각형의 단면계수가

임을 고려하면 나사산의 단면 높이가 0.87p, 폭이 πd1이므로 단면계수 Z는,

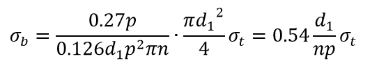
로 나타낼 수 있습니다. 따라서 굽힘응력 σb는 아래와 같이 계산됩니다.

여기서 축하중 Q에 관한 공식을 위 식에 대입하여 정리하면,

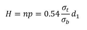
그리고 너트의 높이가 H=np이므로 위 식을 통해 아래의 너트 높이 식을 얻을 수 있습니다.

따라서 우리는 너트에 작용하는 인장응력과 굽힘응력의 계산을 통해 너트의 높이를 결정할 수 있게 됩니다.
2. 너트의 전단강도

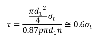
전단응력 τ는 위 그림을 참고하여 아래 식으로 구합니다.

축 하중 공식을 대입하여 다시 나타내면,

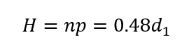
이고, 위 식을 정리하면

으로 전단강도에 대한 너트 높이를 결정할 수 있습니다.
결과적으로 전단강도는 굽힘강도보다 항상 낮은 값을 가지므로 너트 설계 시 굽힘강도만 고려하여도 문제가 없습니다.
아래 표는 KS 규격에 명시된 너트 높이로 설계 시 간편하게 참고할 수 있습니다.

3. 나사산의 접촉면압력
우리는 너트를 설계할 때 나사산의 접촉이 균일하게 분포한다고 가정하고 계산을 합니다.
하지만 실제로 나사산의 접촉은 불균일하기 때문에 하중의 증가로 나사산이 예상과는 달리 이르게 파손되는 경우가 발생합니다.
따라서 나사산에 작용하는 면압력을 제한하는 방법으로 너트의 높이를 결정하는 방법이 많이 사용됩니다.
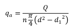
축하중 Q가 각 나사산에 균일하게 분포하는 것으로 가정하고, 나사산의 접촉면에 대한 평균 접촉면압력 qa를 아래의 식과 같이 구할 수 있습니다.

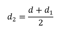
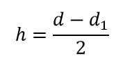
여기서, 유효지름 d2 및 나사산의 높이 h는 아래와 같으므로,


접촉면압력 qa는 아래의 식으로 다시 표시할 수 있습니다.

축하중이 증가하면 나사를 돌릴 때 나사 사이의 마찰이 증가하게 되고, 마멸이 매우 심하게 되어 나사면이 타는 사고도 발생하기 때문에 실용적으로 qa 값을 제한하는 것이 일반적입니다.
이처럼 접촉면압력의 제한은 축하중을 받는 도중 나사를 푸는 등의 행위를 할 경우에 주로 적용됩니다. 때문에 단순 체결용 나사에는 접촉면압력의 제한이 비교적 자유롭습니다.
접촉면압력은 축하중, 나사의 지름, 나사산의 수에 따라 달라지므로 설계 변수로 활용 할 수 있습니다.
아래 표는 KS 규격에 명시된 일반적인 나사의 허용 접촉면압력을 나타냅니다.

