볼트 설계 (2) - 볼트 체결력 고려, 충격하중 작용할 경우
볼트를 설계할 때 고려해야 할 것은 무엇이 있을까요?
볼트는 여러 가지 조합 하중을 받기 때문에 볼트에 작용하는 하중을 모두 고려하지 않고서는 볼트의 강도와 크기를 결정하기 어렵습니다.
체결면에 대한 정밀도, 나사면의 마찰, 진동 및 충격에 의한 체결의 헐거워짐 등 또한 나사에 추가적인 하중을 작용시키는 요인이 됩니다.
매우 많은 조합 요소들이 존재하므로 볼트를 설계할 때는 사용 목적에 따라 아래와 같이 구분하여 설계합니다.
1. 축하중만 작용하는 경우
2. 축하중과 비틀림 모멘트가 동시에 작용하는 경우
3. 전단하중만이 작용하는 경우
4. 충분히 조여진 볼트에 외력이 작용하는 경우
5. 충격하중만 작용하는 경우
이번에는 4, 5번 문제를 다뤄보도록 하겠습니다.
1, 2, 3번 문제는 아래 링크를 참조해 주세요.
https://csengineering.tistory.com/16
볼트 설계 (1) - 축하중 비틀림 전단을 받는 경우
볼트의 강도를 나타내는 방법은 무엇일까요? 볼트를 설계할 때 고려해야 할 것은 무엇이 있을까요? 1. 볼트의 강도표시 볼트의 강도를 나타내는 기계적 성질은 KS B 0233, KS B 1002에서 규정하고 있
csengineering.tistory.com
4. 충분히 조여진 볼트에 외력이 작용하는 경우
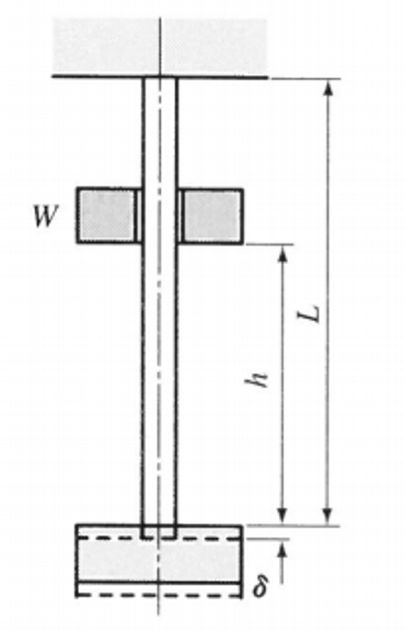
아래 그림과 같이 압력용기 커버나 실린더 헤드의 체결용 볼트를 조일 때를 생각해 보겠습니다.


체결용 볼트를 조이면 볼트는 늘어나려고 하고, 볼트의 체결력에 의해 개스킷(gasket)은 압축하중을 받아 수축되려 해 힘의 평형이 유지됩니다.
<용어 정리>
개스킷(gasket) : 실링 면에서 상대운동이 없는 정적 밀봉 요소
패킹(packing) : 실링 면에서 상대운동을 하는 동적 밀봉 요소
이러한 힘의 평형상태에서 일정량 이상의 추가 내압이 작용하게 되면, 볼트가 추가적인 외력에 의해 더욱 늘어나게 되어 개스킷의 수축이 회복되는 상황이 발생됩니다.
이때 개스킷은 더 이상 수축상태에 있지 못하여 내부 용기의 유체가 누유되게 됩니다. 때문에 충분히 조여진 체결용 볼트에 추가 외력이 작용할 경우 누유의 가능성이 존재하므로 적절한 체결력을 결정하거나 외부 하중을 조절할 필요가 있습니다.
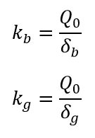
볼트에 하중이 추가로 작용하기 전의 초기 상태에서 볼트는 인장하중 Q0를 받고, 개스킷은 Q0의 압축하중을 받게 됩니다.
이때 볼트의 초기 신장량을 δb, 개스킷의 초기 수축량을 δg라 하면, 볼트의 스프링 상수는 kb=Q0/δb, 개스킷의 스프링 상수는 kg=Q0/δg가 됩니다.

이와 같이 체결된 볼트의 신장량 및 개스킷 수축량의 관계를 하중-변형 선도로 나타내면 아래 그림과 같이 나타낼 수 있습니다.


볼트가 초기 체결력에 의해 체결된 상태는 위 그림 (1)에 해당하며 볼트가 신장된 만큼 개스킷은 수축하게 됩니다.
초기 체결력이 Q0인 상태 즉, 위 그림의 (1) 상태에서 추가 하중이 볼트에 Pb 만큼 작용하게 되면 볼트는 신장하게 되고 개스킷은 볼트가 신장한 만큼 동시에 수축하게 됩니다.
위 그림의 개스킷 수축 선(실선)을 (a) 축을 기준으로 오른쪽으로 평행이동 시키면(점선) 추가 인장하중 Pb에 따른 볼트와 개스킷의 신장 및 수축을 표현할 수 있게 됩니다.
그림과 같이 추가 인장 하중이 작용한 이후에는 볼트와 개스킷이 각 스프링 상수에 비례하여 초기 체결력 상태와 반대되는 거동을 하게 되는데 이때 추가되는 하중만큼 볼트는 신장하게 되고 개스킷은 볼트의 신장만큼 신장되어 수축량이 감소되게 되는 것입니다.
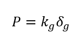
압력용기 안에 증기를 넣으면 압력용기 헤드에 작용하는 하중이 체결 볼트에 외력 P로 전달되는데, 이때 볼트에 추가로 작용하는 인장하중 Pb는

이고, 외력 P에 의한 개스킷의 관계식은

입니다. 여기서 볼트의 신장량과 개스킷의 수축량은 서로 같으므로

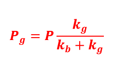
같은 방법으로 Pg를 계산하면,

과 같이 됩니다.
따라서 외력 P가 작용하였을 때 볼트는 Pb 만큼 하중이 증가하고, 개스킷은 Pg 만큼 하중이 감소하게 되는 것입니다.
또한 위 식의 이해를 통해 개스킷의 재질(낮은 kg 값)이 잘 변형될수록 체결력의 감소를 방지하여 압력용기 내부 누설에 유리함을 알 수 있습니다.
따라서,
체결력이 작용하고 있는 볼트에 외력 P가 작용할 경우 초기 인장하중 Q0가 Qb로 증가됩니다.
볼트의 초기 신장량 δb는 δ만큼 추가로 신장되어 볼트의 최종 신장량이 결정됩니다.

반대로 개스킷에 작용하는 입축하중은 Q0에서 Qg로 감소하게 되며 개스킷의 초기 신장량은 δg에서 δ만큼 감소하여 개스킷의 최종 수축량이 결정됩니다.

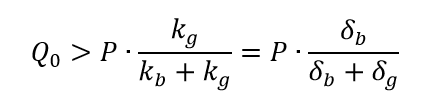
만약, 외력 P가 더욱 증가하여 개스킷의 최종 신장량이 0이 될 때, Qg는 0이 되어 개스킷은 전혀 압축되지 않는 상태가 되어 압력용기의 내부 압력이 누설되게 됩니다.
때문에 Qg가 0이 되지 않도록 다음의 조건을 반드시 지켜서 압력용기를 설계해야 합니다.
Qg가 0이 되지 않으려면,

를 만족해야 하므로

임을 알 수 있습니다. 위 식을 통해 압력용기 체결력을 선정할 수 있습니다.
또한,

위 식을 통하여 외부 하중이 작용할 때의 볼트 인장하중을 계산하게 됩니다.
우리는 볼트 요소를 설계할 때, 그 볼트가 최종적으로 감내해야 하는 하중을 계산해야 하며 계산된 하중을 근거로 볼트를 구조설계합니다.
볼트는 체결력 만으로 항복강도의 60~70%의 인장응력을 받게 되므로 볼트에 추가적인 외력이 작용할 경우 볼트의 항복강도를 초과하지 않도록 정밀한 계산법을 알아야 합니다.
계산에 필요한 δb, δg값은 재료의 탄성뿐만 아니라 모양이나 길이에도 관계되므로 계산이 매우 복잡합니다.
때문에 실험적인 검토가 필요하지만, 일반적으로 아래와 같이 추정하게 계산하는 것도 가능합니다.
볼트의 세로탄성계수 Eb, 유효단면적 A를 통해

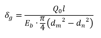
로 계산할 수 있고 개스킷의 수축량 δg은,

입니다.
여기서 dm은 아래 그림과 같이 45도 원추의 대각선 중앙에서 잡은 가상의 원통의 바깥지름이고, dn은 안지름을, l은 원통 길이를 말합니다.

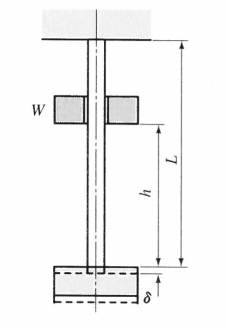
5. 충격하중만 작용하는 경우
내연기관 등에 사용하는 볼트와 같이 충격하중이 반복적으로 작용하면, 정하중이 작용할 때보다 훨씬 큰 응력이 순간적으로 발생하여 볼트가 파괴될 수 있습니다.

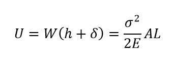
위 그림과 같이 하중 W가 h의 높이에서 낙하할 때 봉의 신장량을 δ라고 하면, 외부에서 한 일 량 W(h+δ)는 봉의 내부에 축적되는 변형에너지 U와 같으므로 다음 식이 성립합니다.


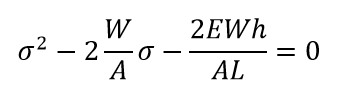
위 두식으로부터 아래의 σ에 대한 2차 방정식으로 나타낼 수 있습니다.

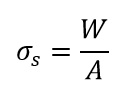
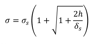
2차 방정식 근의 공식을 이용하여 σ를 구해보면, (- 부호는 무시)

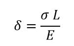
이 되고, 정하중 W에 대한 응력σs 및 신장량δs은 아래와 같으므로


σ에 대한 최종 식은 다음과 같이 됩니다.


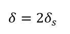
만약 h=0이라면, 즉 플랜지에 매우 근접한 위치에서 급격히 충격하중을 가하는 조건이라면

로 되어 충격응력은 정하중 응력의 2배가 됨을 알 수 있습니다.
같은 방법으로 충격 변형량 δ를 구해보면 아래와 같이 되며

마찬가지로 h=0 인 조건에서

로 되어 충격 변형량도 정적 변형량의 2배가 됨을 알 수 있습니다.
따라서 봉의 길이 L이 길수록, 단면적 A가 작을수록 신장량은 커지게 됨을 알 수 있습니다.
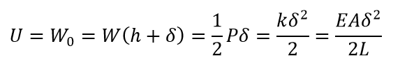
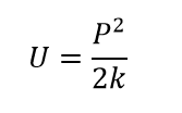
볼트에 충격하중 P가 작용하여 변형량 δ가 생겼다면, 아래 그림과 같이 충격하중에 의한 외부에서 한 일 량 Wo와 볼트의 내부에 축적된 탄성변형 에너지 U는 같으므로 아래의 관계식이 성립하게 됩니다.


또한, 이므로 충격에너지 U는 아래와 같이 표시됩니다.

여기서 k [N/mm]는 볼트의 스프링 상수

이므로 충격에너지 U는

로 나타낼 수 있습니다.
따라서 볼트의 길이가 길수록, 단면적이 작을수록 볼트의 에너지 흡수 능력이 증가하게 되며 결과적으로 충격하중에 의한 볼트의 강도가 증가하게 됩니다.
