볼트 역학과 체결 토크 계산
볼트 역학과 체결 토크 계산
볼트를 체결하기 위해 필요한 힘은 어떻게 계산될 까요?
우리가 볼트를 체결할 때 사용하는 토크렌치의 토크 값의 근거는 무엇일 까요?
볼트를 체결함에 따라 볼트 몸통에 작용하는 인장 응력(예하중, 프리텐션)은 어떻게 계산될까요?

1. 볼트 역학 - 체결력과 토크
볼트를 조이거나 풀 때, 아래 그림처럼 접선 방향의 회전력 P가 작용하고 경사면을 따라 밀어 올리는 과정에서 수직하중 Q가 작용하게 됩니다.
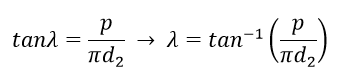
이때의 경사면에 따른 경사각 λ는 볼트의 리드각을 의미합니다.

볼트를 조이는 힘 P는 축 방향에 직각인 유효 지름 d2의 접선 방향으로 작용합니다.
이때 축 방향 하중 Q는 유효 지름의 나선 위에 작용한다고 생각할 수 있습니다.
결과적으로 볼트를 조이는 힘 P에 따라 볼트 몸통에는 축 방향 하중 Q가 작용한다고 할 수 있습니다.
여기서 조이는 힘 P는 체결력과 연관되고, 축 방향 하중 Q는 예하중(프리텐션)과 연관됩니다.
이때 마찰계수 μ와 수직력의 곱인 마찰력은 운동을 방해하는 방향으로 작용합니다.
위 그림을 참고하여 힘의 평형방정식을 통해 P와 Q의 관계식을 구해보겠습니다.


여기서 F는 마찰력, λ는 리드각을 의미하므로


Y 축에 대한 힘 평형방정식을 정리하면


X 축과 Y 축의 힘 평형식을 연립하여 정리하면,

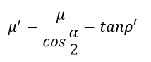
마찰계수 μ와 마찰각 ρ 사이의 관계식은,


이므로


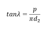
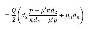
이때 리드각 λ, 피치 p와 유효지름 d2의 관계는

이므로 회전력 P는 아래로도 표현될 수 있습니다.

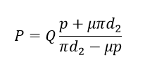
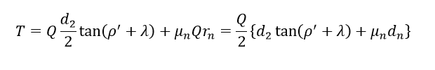
따라서 나사를 조일 때 필요한 체결 토크 T는 아래와 같습니다.

해당 내용은 사각나사 볼트의 내용이므로 삼각나사에 대한 내용으로 풀어보겠습니다.
삼각나사는 나사면이 경사져 있으므로 위에서 언급한 축 방향 힘 Q와 삼각나사의 경사면에 작용하는 수직력 R 과의 관계는 아래와 같습니다.


삼각나사의 나사면에 작용하는 마찰력 F는,


따라서 삼각나사와 사각나사 볼트의 차이는 마찰계수의 차이로 설명할 수 있습니다.
즉, 삼각나사의 마찰력이 사각나사의 마찰력보다 크므로 체결용 나사로는 사각나사 볼트보다 삼각나사 볼트가 더욱 유리합니다.
2. 체결 토크 계산
그런데 실제로 나사를 조일 때에는 너트 면의 마찰도 작용하므로 더욱 큰 토크가 필요합니다.
일반적으로 나사산의 마찰에 의한 저항이 40% 정도이고, 자리면의 마찰에 의한 저항이 50% 정도 작용합니다.

따라서 실제로 볼트를 체결하는데 필요할 토크 T는 아래와 같습니다.
<최종공식>


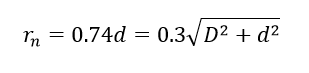
여기서, μn은 너트 또는 볼트 머리의 자리면, 와셔 면의 마찰계수이며 rn, dn은 해당 면의 평균 지름을 나타냅니다.

3. 결론
기계 구조물 설계자라면 볼트 체결력을 계산하는 경우가 빈번히 발생합니다.
제품 제작 시에 필요한 체결 토크를 시방서에 기입해야 할 경우나, 제품 매뉴얼에 유지 보수를 위한 볼트 체결 토크를 제시해 줘야 하기 때문입니다.
일반적으로 볼트 항복강도의 60~70%에 상당하는 예하중(프리텐션)이 작용할 수 있도록 체결 토크를 산정합니다.
체결 토크 계산에서 가장 중요한 변수는 마찰계수이므로 볼트 나사산 도금, 윤활의 종류에 맞는 마찰계수를 적용하여 체결 토크를 계산해낼 수 있어야 합니다.

엑셀 서식을 활용해 필요 축 하중을 달성하기 위한 체결 토크를 계산할 수 있습니다.
이상으로 볼트 역학과 체결 토크 계산에 대해서 알아보았습니다.
다음 포스팅에는 체결 토크와 볼트 예하중(프리텐션)간의 관계를 구조해석 실험을 통해 알아보도록 하겠습니다.
감사합니다.